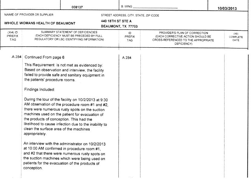
whole-womens-health-abortion-clinic-inspection-oct-2013

whole-womens-health-abortion-clinic-inspection-oct-2013

What is Live Action News?

Live Action News is pro-life news and commentary from a pro-life perspective. Learn More

Contact editor@liveaction.org for questions, corrections, or if you are seeking permission to reprint any Live Action News content.

GUEST ARTICLES: To submit a guest article to Live Action News, email editor@liveaction.org with an attached Word document of 800-1000 words. Please also attach any photos relevant to your submission if applicable. If your submission is accepted for publication, you will be notified within three weeks. Guest articles are not compensated. (See here for Open License Agreement.) Thank you for your interest in Live Action News!



To Top