Analysis

Pro-abortion writer calls Gosnell movie ‘misleading,’ but abortion facility inspections say otherwise

Gosnell, abortion, Planned Parenthood

Pro-abortion writer Robin Marty has written a book on the “injustice” of not having enough abortion access, and passes her time doing trainings for NOW, NARAL and other pro-abortion groups. In addition, she egregiously misrepresents abortion as she offers her take on the new film, “Gosnell: The Trial of America’s Biggest Serial Killer,” in selected theaters this weekend. In an effort to mitigate the legitimate damage the film will do to the abortion industry, it seems Marty twists reality.

In her piece, “Legal abortion is vilified by the pro-life Gosnell movie, which inadvertently shows the dystopia of a post-Roe America,” Marty acknowledges that Gosnell was a murderer, despite her pro-abortion rhetoric, but she doesn’t seem to think he was all that bad compared to other serial killers. She writes, “Since Gosnell was only convicted on three counts of first degree murder, the ‘America’s Biggest’ moniker is a bit of a stretch,” adding that the only way one could give him that title is if one believes killing viable fetuses is killing human beings.

READ: Gosnell is not alone: Why we need more investigation and stricter regulations

She manages to leave out that, as CNN reports, “Gosnell, who is not a board-certified obstetrician or gynecologist, was [also] found guilty of 21 counts of abortion of the unborn, 24 weeks or older.” Many babies born at 24 weeks survive, and they shouldn’t be dismissed simply because one is pro-abortion.

But the heart of Marty’s argument falls extremely short. She asserts:

There is no defense for Kermit Gosnell’s illegal actions. There is no question that he performed even general, legal abortions without the care or training a person should expect from a medical provider when terminating a pregnancy. His clinic was unsanitary and dangerous for patients generally, and he was further known to provide better care and cleaner rooms for his white and higher-income clients than those who were poor, immigrant, or brown or black…. There is no doubt that Gosnell broke the law, or that he performed some abortions past the legal gestational age in Pennsylvania. It is a fact that — either through lack of training, lack of morality or both — he illegally induced live births in his patients and once those fetuses were delivered, stabbed the fetuses with scissors in the backs of their skulls if they were still showing signs of life.

There is no defense of what Gosnell did, but there is also no comparison between what he did and what a legitimate, trained abortion provider does — and that is where the film becomes purposefully misleading.

Except it’s not misleading at all. Gosnell, like many other abortionists, committed gruesome abortions on viable babies, including the “other” Gosnell, Douglas Karpen, whose violations are stomach turning. He used similar methods to Gosnell, and Karpen’s former workers testify to multiple babies being born alive:

In addition, the very idea that abortion facilities are all wonderful, perfectly safe health centers is not realistic. Less than two weeks ago, a surprise inspection of a Missouri Planned Parenthood revealed, among multiple other things:

• Rusted suction machine cabinets that posed an infection control issue since they prevented proper sanitation
• Bloody single-use plastic tubing attached to the machine’s glass suction canister that was never disposed of after the last abortion (weeks before)
• Reusable tubing… contaminated with black mold… abortions continued to be conducted with that moldy tubing

READ: Wasn’t Kermit Gosnell supposed to be an ‘outlier’?

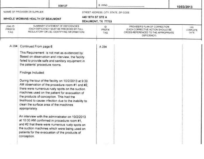
Some abortion facilities fail their inspections multiple times — such as Whole Woman’s Health, the organization behind the Supreme Court case that struck down portions of Texas’ pro-life omnibus bill HB2. And yet, these facilities keep committing abortions. This office wasn’t remotely safe for women:

 

Or there’s this Chicago Planned Parenthood where two more women were rushed to the hospital this week, making six total in the last 11 months only. There’s the Virginia facility that received a 33-page violation report this year, putting multiple women at risk with its unsafe practices. And there are many more facilities that have been found to be unsafe.

Yet Marty insists:

Needless to say, unsafe and unsanitary conditions in an exam room in which abortions are performed are not normal, but anti-abortion activists are invested in making the public believe they are: That’s the underlying message of their push for so-called “TRAP” laws, which seek to make medical providers meet higher standards for their buildings than other similar medical providers.

In actuality, the reason behind these laws for higher standards are because women do deserve to be treated well, and having a piece of rust inserted into a woman’s vagina, with moldy plastic tubing, could ultimately kill her. And this is not unusual at all. Perhaps Marty missed this story about 16 of 17 Texas abortion facilities failing their inspections in 2016. Some of those reasons include “findings, which are eerily similar to what was found inside the Gosnell House of Horrors abortion facility, includ[ing] the abysmal treatment of a patient with post-abortion complications as well as serious infection control issues,” complete with a long list of violations.

READ: Abortionist featured in ‘Gosnell’ movie isn’t the only one committing horrors

The SBA List has compiled this report, which details some selected dangerous abortion violations, also with documentation. And that’s the point: Discovering a list of facilities such as these is like falling into an endless rabbit hole. A simple Google search of “unsanitary abortions” nets the reader with a seemingly limitless amount of articles, myriads containing links to actual state inspection reports, not simply pro-lifers crying out “unsafe!”

The truth is not pretty, but it’s the truth nonetheless. The fact is that the Gosnell movie might highlight horror, but many of those horrors are not the exception; rather, they are the norm.

What is Live Action News?

Live Action News is pro-life news and commentary from a pro-life perspective. Learn More

Contact editor@liveaction.org for questions, corrections, or if you are seeking permission to reprint any Live Action News content.

GUEST ARTICLES: To submit a guest article to Live Action News, email editor@liveaction.org with an attached Word document of 800-1000 words. Please also attach any photos relevant to your submission if applicable. If your submission is accepted for publication, you will be notified within three weeks. Guest articles are not compensated. (See here for Open License Agreement.) Thank you for your interest in Live Action News!



To Top