Today, rather than warn women of the potential dangers of the abortion pill (mifepristone or Mifeprex), media outlets like the Washington Post are using scare tactics to push a false narrative that pro-life laws are creating an environment in which women are having to flood emergency rooms after illegally accessing abortion pills.
But as Live Action News previously documented, the “self-managed abortion” scheme, planned and implemented by the abortion industry years before the fall of Roe v. Wade, is really at fault here.
Even in the early days of the abortion pill’s approval, the abortion industry acknowledged that for the drug regimen to be available to women, emergency rooms would be a necessary link in the “self-managed” abortion chain, despite the claim that taking the drug is “safe.”
SCARE TACTICS TO PUSH PRO-ABORTION NARRATIVE
In the Washington Post article, “Alone in a Bathroom,” journalist Caroline Kitchener wrote, “In states with abortion bans, the emergency room is often the only option for women who want in-person care during their medication abortions.”
Really? Emergency rooms are the “only option”? If this is the case, then it reflects a failure to follow the FDA’s safety rules, which require prescribers to have the ability to take care of the client. According to the Food and Drug Administration’s (FDA) REMS safety regulations for mifepristone, prescribers of the drug are supposed to have the ability to treat emergencies or to refer women to someone who can.
The current prescriber agreement (March 2023) states that prescribers must have the “[a]bility to provide surgical intervention in cases of incomplete abortion or severe bleeding or have made plans to provide such care through others, and be able to assure patient access to medical facilities equipped to provide blood transfusions and resuscitation, if necessary.”
Those tasked with holding prescribers to these requirements, however, are the ones with the most to gain — the drug’s manufacturers, Danco Laboratories and GenBioPro. Danco lists the requirements for certified prescribers:

March 2023 FDA prescriber agreement for Mifepristone
DISHONESTLY BLAMING PRO-LIFE LAWS
Instead of investigating why women actually present to emergency rooms after taking abortion pills, as was argued recently before the Supreme Court in the Alliance for Hippocratic Medicine (AHM) v. Food and Drug Administration (FDA) lawsuit, the Washington Post is attempting to shift the blame to pro-life laws. This is entirely dishonest, as the abortion industry began implementing its at-home, self-managed abortion pill scheme well before states began passing stronger pro-life laws.
Both in the U.S. and the U.K., self-managed abortions became incredibly popular during the COVID pandemic. In July of 2020 — nearly two full years before the Supreme Court reversed Roe v. Wade — a U.S. judge suspended a rule requiring in-person distribution of the abortion pill, allowing it to be sent by mail. A year later, the FDA announced its intent to allow mail distribution of the abortion pill for the duration of the pandemic. And despite horror stories coming out of the U.K., Parliament voted to permanently allow telemedicine ‘at-home’ abortion in early 2022.
So any claim that pro-life laws have caused women to abort alone, at home, and to visit ERs if they experience complications, is a lie that anyone who knows how to use a search engine can easily disprove.
“Overwhelming evidence shows that abortion pills are safe and effective, and that many patients who take them go through the process without much difficulty, experiencing little more than the sharp cramping and bleeding of an unusually heavy period,” Kitchener wrote in her article. “Antiabortion activists say the pills are highly dangerous, or even deadly, for pregnant women — false assertions based largely on studies that have now been retracted by the journal that published them,” claimed Kitchener. Live Action News previously documented why that retraction appeared political here and here.
The fact left out by Kitchener is that published percentages for ER visits on mifepristone’s 2023 label states that 2.9 to 4.6 percent of women who take abortion drugs end up in the emergency room, indicating that abortion pill ER visits could be in the tens of thousands every year. In addition, the FDA’s medication guide acknowledges that as many as seven percent (7%) of women will need surgery after taking mifepristone ‘to stop bleeding’ or to complete the abortion.

Mifepristone Jan 2023 label shows percentage of women taking abortion pill visit ER
The data is also similar to findings from a previously documented Gynuity Health Projects (GHP) telabortion study which found that six percent (6%) of participants (70 out of 1,157) faced complications from the abortion pill resulting in ER or urgent care visits. Gynuity is a pro-abortion group conducting clinical trials on the abortion pill and is funded by organizations with deep historic ties to the American eugenics movement.
MEDICAL ‘EXPERTS’ TIED TO BIG ABORTION
Instead of hard journalism, Kitchener dismisses any possibility that visits to emergency rooms are about potential death or serious complications for women. She instead argues that “Antiabortion activists portray those emergency room visits as an indication of a safety issue, but leading medical experts say they instead highlight the confusion and fear that many women experience after taking the pills,” Kitchener wrote.
Kitchener’s “leading medical experts” terminology is misleading because she knows these “experts” are deeply entrenched in the abortion industry.
One such “medical expert” cited by Kitchener is Ushma Upadhyay, described by the Washington Post journalist as “a professor at the University of California at San Francisco [UCSF] and a leading researcher on the safety of abortion pills.”
Yet Upadhyay isn’t just a professor at UCSF. She also works with Advancing New Standards in Reproductive Health (ANSIRH) and has argued that the FDA should “remove as many barriers as possible” on the abortion pill. Upadhyay has even overseen “The California Home Abortion by Telehealth (CHAT) Study,” which took place at ANSIRH.
In addition, Upadhyay was an early advocate of the “no test/no touch” protocol for the abortion pill, which eliminated important preliminary labs, testing, and ultrasounds — potentially placing women in harm’s way.
ANSIRH itself was founded by abortionist Felicia H. Stewart and is funded by the Packard Foundation, which provided early financial assistance to the abortion pill’s U.S. manufacturer, Danco. Packard also invests millions in the generic version of the drug made by GenBioPro, Inc.
The Buffett Foundation, another early abortion pill investor, invests in Upadhyay’s employer, the University of California (UC) system, and is a collaborator in abortion pill clinical trials. In past years, Buffett gave $78 million to UC — and according to the New York Times, Buffett is the primary financier of the Bixby Center’s Ryan Residency Program at UCSF, where abortionists are trained.
DANCO RELIED ON EMERGENCY ROOMS
Live Action News has previously documented that the risks of the abortion pill triggered the FDA to place it under a safety system called REMS, where it has remained — even under multiple pro-abortion administrations.
The fact is that Danco and the FDA always understood that emergency rooms would be necessary to treat abortion pill clients, even as the FDA allowed for the expansion of “self-managed” and “mail-order” abortion.
In this 1996 transcript, Beverly Winikoff, M.D., who once credited the September 11 attacks with “saving” the abortion pill, and who previously worked for the Population Council, which conducted early clinical trials on the drug and set up Danco, claimed that abortion pill clients had to live or work within an hour of where “they got the treatment.” This was because they needed abortion pill clients to have the ability to access emergency treatment if needed.
Yet, today, abortion advocates are more than willing to ship drugs across the country, where women may not know a local medical provider who can deal with abortion pill emergencies.
In 2000, even after the drug was approved, the FDA warned abortion clients, “It is important that you understand the need for 2 follow-up visits with your health care provider and that you have access to a medical care facility in case of an emergency.”
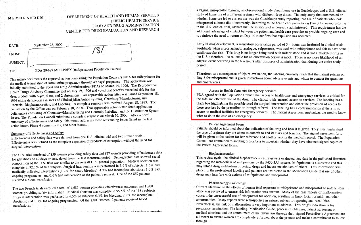
A September 2000 FDA memo under the heading “Access to Health Care and Emergency Services” stated that “FDA agreed with the Population Council that access to health care and emergency services is critical for the safe and effective use of the drug… The labeling has a contraindication if there is no access to medical facilities for emergency services….”

FDA 2000 memo abortion pill and emergency services at emergency rooms
In 2004, the FDA was still warning women to take the abortion pill medication guide with them to emergency rooms or other providers handling complications.
In April 2011, the FDA reported over 2,200 adverse events associated with the abortion pill, including hospitalizations and blood loss severe enough to require transfusions. It was in this year that the FDA determined that a REMS safety requirement was necessary for mifepristone.

Abortion pills placed under REMS in 2011 (FDA REMS defined as of 6/3/2020)
In 2015, the drug’s manufacturer Danco Laboratories was still aware that women might experience “emergency department presentation, hospitalization, infection, perforation and hemorrhage requiring transfusion” and that “access to pain management and emergency services” could be “needed.”
The 2016 label for the drug specifically noted, “Before prescribing MIFEPREX, inform the patient about the risk of these serious events. Ensure that the patient knows whom to call and what to do, including going to an Emergency Room if none of the provided contacts are reachable, if she experiences sustained fever, severe abdominal pain, prolonged heavy bleeding, or syncope, or if she experiences abdominal pain or discomfort, or general malaise (including weakness, nausea, vomiting or diarrhea) for more than 24 hours after taking misoprostol.”
Despite this, in 2016, the Obama administration’s FDA weakened the REMS by removing the requirements that women or teen girls take the first drug in front of a clinician, in-person, at the location of a certified prescriber — a mere five years after the safety requirements were put in place.
In addition, knowing that women would need to access emergency assistance, the FDA no longer required any adverse events to be reported, just deaths.
Today, the FDA’s website still warns, “Health care providers must be able to ensure that patients have access to medical facilities for emergency care…”
HIDE ABORTION PILL COMPLICATIONS
The abortion industry has gotten away with shifting responsibility for abortion pill clients and their care to often overcrowded emergency rooms. Today, bad actors inside the industry tell abortion clients not to call them, but to instead present to emergency rooms for abortion pill aftercare. Some even suggest that clients lie about abortion pill complications and claim they are experiencing a natural miscarriage.
While it is one thing to suggest that abortion clients lie, ANSIRH-affiliated abortionist Daniel Grossman previously suggested that medical personnel at emergency rooms should also falsify medical documents to cover up abortion pill complications. Grossman has led the charge to expand use of the abortion pill, and last year he even reiterated his previous position that emergency room doctors should avoid documenting abortion pill complications to hide information from law enforcement in a post-Roe environment.
This unethical cover-up would likely diminish any chance that accurate numbers on abortion pill complications/deaths would be reported to authorities.
Even the FDA appears to be collaborating with this idea by eliminating specific text (see images below) from the black box warning and the patient counseling section of the abortion pill’s January 2023 label.
The text, according to the FDA’s 2019 Mifepristone label (as well as older labels), previously stated, “Advise the patient to take the Medication Guide with her if she visits an emergency room or a healthcare provider who did not prescribe MIFEPREX, so that the provider knows that she is undergoing a medical abortion (emphasis added).”

Abortion pill label changes (2019 to 2023) edits to Black Box Warning and counseling section

2023 abortion pill label no longer tells women to bring medication guide to ER
TENS OF THOUSANDS OF WOMEN POTENTIALLY PRESENT TO EMERGENCY ROOMS
In her article, Kitchener made a surprising acknowledgement, writing, “A significantly larger share of patients who take abortion pills seek emergency care, ranging from 1.3 to 8 percent in leading studies.”
The Guttmacher Institute recorded 642,700 chemical abortions took place (63% of all abortions) in 2023.
Utilizing Kitchener’s own percentages would indicate that between 8,355 to 51,416 women may have sought emergency care after taking abortion drugs that year alone.
Given the tremendous number of women taking up resources at emergency rooms it is clear why the abortion lobby — with help from pro-abortion media mouthpieces — are attempting to shift the blame.
POSSIBLE SOLUTIONS
While pro-abortion media allies offer no solutions to fix many of these problems, solutions do exist.
The federal Comstock Law could be enforced by the Biden Department of Justice (DOJ) to stop the mailing of abortion-inducing drugs across the country. This is, of course, unlikely to happen.
And instead of “shielding” abortion insiders in states that have expanded abortion, pro-abortion lawmakers and agencies like the FDA could pass and then enforce measures that would protect women. And they could hold accountable those shipping abortion pills across the country knowing women likely have no follow-up care other than emergency rooms.
Finally, the Supreme Court could rule on behalf of the Alliance for Hippocratic Medicine and roll back safety regulations on the abortion pill to pre-2016, when prescribers were required to only dispense the drug after an in-person visit.